
![]()
可持续发展
Sustainability
![]()
![]()
电力系统的经济、安全与低碳三大目标相互制约,所形成的“能源不可能三角”成为能源转型面临的关键难题。2017年至2020年,中国青海省先后开展了四次零碳电网的不间断运行实践,运行时长从7天逐步延长至创世界纪录的31天,由此成为全球零碳电网建设领域的标志性案例。
为了深入剖析零碳电网在经济、安全与低碳三者间的复杂权衡机理,中国人民大学郑新业教授、宋枫教授、陈浩副教授、张博彦博士研究生、伦敦大学学院米志付教授和中国石油大学(北京)崔健博士近日在Cell Press细胞出版社旗下可持续发展期刊Cell Reports Sustainability上在线发表了题为“Uncovering the energy trilemma challenges faced by China in conducting the 31-day real-world 100% renewable electricity supply”的研究成果。结果显示,为保障零碳电网的安全运行,青海部署实施了四类灵活性措施,避免了高达47.2%至97.2%停电的发生率,但同时导致年度电力成本上涨约4.8%–5.4%;此外,未来进一步增加零碳电网的运行时间将导致停电风险和电力系统成本非线性增加,凸显了以多维政策协同支持电力部门深度脱碳的必要性。
![]()

▲长按图片识别二维码阅读原文
文章亮点
- 揭示了青海电网在时长为7日,9日,15日和31日零碳运行期间面临的经济、安全和低碳三个维度的复杂权衡关系;
- 为保障零碳电网的安全运行,灵活性措施的部署使电力系统的年度平均成本增加了4.8%–5.4%;
- 构建了模拟未来零碳电网不同运行时长的评估框架,预估了零碳电网发展面临的风险与挑战。
引言
随着可再生能源渗透率的持续提升,经济、安全和低碳三大目标之间相互制约,“能源不可能三角”问题日益凸显。2017年至2020年间,中国青海省先后开展了四次零碳电网不间断运行实践。青海无论在零碳电网运行的持续时间上,还是在电力系统的规模体量上,均处于世界领先水平,为深入剖析零碳电网的运行规律提供了重要的现实案例。本研究旨在揭示电力系统在经济、安全和低碳三者之间的复杂权衡关系及协同机理,以期为能源转型路径优化与多维政策框架设计提供理论依据与实践参考。
成果
1. 零碳电网实践的现实挑战
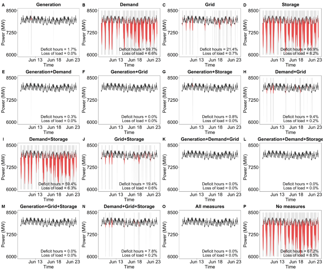
本文基于2017年至2020年间青海省四次零碳电网实践的真实运行数据,识别零碳电网安全可靠运行所依赖的源(水电调节)、网(跨省输电)、荷(需求侧管理)、储(储能调节)四类关键灵活性措施。图1呈现了在不采取以上四类灵活性措施的反事实情景下,青海零碳电网实践面临的电力短缺风险,缺电时间比例高达47.2%-97.2%。受光伏出力曲线影响,每日凌晨6:00是系统电力短缺风险最高的时段。在四次零碳电网实践期间,随着系统调节能力的提升,缺电时间比例从2018年的97.2%峰值降至2020年的47.2%,系统韧性显著增强。

图1 零碳电网实践面临的电力短缺风险
2. 灵活性措施对可靠性的边际贡献
首先,本文评估了在不同的灵活性措施组合下的电力短缺风险,以2019年15日不间断的零碳电网运行实践为例,不同组合情景下最高缺电时间比例可达67.2%(图2)。其次,本文利用Shapley值法拆解不同灵活性措施对可靠性带来的边际贡献。图3表明,四次零碳电网实践中,电源侧灵活性资源的贡献最为显著,平均边际贡献率达59%。相比之下,由于需求侧和储能侧资源目前规模较小,其贡献率均低于10%,仍有较大提升空间。

图2 不同灵活性措施组合下的电力短缺风险

图3 不同灵活性措施对电力安全的边际贡献
3. 电力安全与成本的权衡取舍
灵活性措施虽然保障了供电安全,但也带来了不可忽视的经济成本。与正常运行情景相比,零碳电网的运行实践使年度供电平均成本增加约4.8%-5.4%(图4)。而且,受资源禀赋与负荷特性影响,零碳电网运行引致的额外成本在不同地区间差异显著,黄南州的平均成本增幅可达海西州的25倍。

图4 零碳电网实践对电力系统成本的影响
4. 零碳电网的能源不可能三角挑战
利用启发式算法,研究模拟了零碳电网在未来更长时段(1000h至8760h)运行的潜在挑战。图5显示,随着零碳电网持续运行时间的延长,系统面临的“不可能三角”挑战将呈非线性增长态势,电力短缺风险和系统成本均随时间维度呈指数级上升。

图5 更长时段零碳电网运行的能源不可能三角

![]()
作者介绍
![]()

郑新业
教授
郑新业,现任中国人民大学党委常委、副校长,英雄联盟下注 教授、博士生导师。主要研究领域为社会主义市场经济理论、和平与发展理论。主持国家自然科学基金项目、国家社会科学基金项目等多项科研项目。在《中国社会科学》《经济研究》,Nature Energy等学术刊物发表了多篇论文。

宋枫
教授
宋枫,英雄联盟下注-英雄联盟博彩 教授、博士生导师,能源经济系系主任。长期致力于能源经济与政策领域的研究,主要研究方向包括可再生能源发展、电力市场改革、能源系统转型等。研究成果发表于《经济研究》《管理世界》,Nature Energy,PNAS,Energy Journal,Energy Economics等国内外资源与能源领域权威期刊。主持国家社会科学基金重大项目、国家自然科学基金面上项目等多项重大课题。

米志付
教授
米志付,伦敦大学学院(UCL)巴特莱特可持续建设学院教授、副院长,全英/全欧中国经济学会第36届主席。致力于气候变化经济与政策研究,成果发表于Lancet,Science子刊,Nature子刊,Cell子刊等国际知名期刊。入选科睿唯安“高被引科学家”。担任期刊Structural Change and Economic Dynamics首席主编。

陈浩
副教授
陈浩,英雄联盟下注-英雄联盟博彩 副教授、博士生导师,碳经济专硕主任。主要从事电力市场和碳经济领域的研究,已在Cell Reports Sustainability,iScience,Energy Journal和Energy Economics等能源经济领域主流学术期刊上发表多篇论文,主持国家自然科学基金面上项目、国家自然科学基金青年项目和教育部人文社科项目等项目。
![]()
相关论文信息
![]()
论文原文刊载于Cell Press细胞出版社
旗下期刊Cell Reports Sustainability,
![]()
▌论文标题:
Uncovering the energy trilemma challenges faced by China in conducting the 31-day real-world 100% renewable electricity supply
▌论文网址:
//www.sciencedirect.com/science/article/pii/S2949790626000479
▌DOI:
//doi.org/10.1016/j.crsus.2026.100678

▲长按图片识别二维码阅读原文
来源:CellPress全科学微信公众号
设计 责编:马文林
审核:陈浩 宋枫
相关新闻
-
聚焦人才培养与学科发展——产业组织+经济学科建设研讨会召开
2026/04/24
-
英雄联盟下注 党委举办树立和践行正确政绩观学习教育系列读书班
2026/04/23
-
第十三届“海峡两岸财经前沿问题论坛”暨人与社会全面发展目标(CDGs)2026年度春季研讨会举办
2026/04/22
-
英雄联盟下注 师生在资本跨区域配置研究领域取得新进展
2026/04/22


